MOSFET主要参数包括BVDSS,RDS(on),Crss,Coss以及VGS(th);同步BUCK变换器的下管、半桥和全桥电路,以及有些隔离变换器副边同步整流管还要考虑内部二极管反向恢复等参数,要结合具体的应用。下面波形为感性负载功率MOSFET开通的过程。


VGS(th)和VGP在功率MOSFET的数据表中可以查到,有些数据表中没有标出VGP,可以通过计算得到平台的电压值。产生开通损耗的时间段为t1-t2、t2-t3,t0-t1时间段不产生开通损耗但是会产生延时。
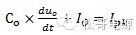
在负载开关的应用中,要保证在t3时间后,输出电容充电基本完成,就是电容的电压基本等于输入电压,在这个过程中,MOSFEGT工作在线性区,控制平台的电压VGP,就相当于控制了最大的浪涌电流,浪涌电流就不会对系统产生影响。因此导通时间要多长,由输出的电容和负载的大小决定。
具体的计算步骤是:设定最大的浪涌电流Ipk,最大的输出电容Co和上电过程中输出负载Io。如果是输出电压稳定后,输出才加负载,则取:Io=0。由下式可以算出输出电容充电时间:
负载开关的应用通常在D、G极并联外部电容,因此t2-t3时间远大于t1-t2,t1-t2可以忽略,因此可以得到:t=t2-t3,由公式可以求出D和G极并联的外部电容值。然后由上面的值对电路进行实际的测试,以满足设计的要求。
负载开关的稳态功耗并不大,但是瞬态的功耗很大,特别是长时间工作在线性区会产生热失效问题。因此PCB的设计,特别是贴片的MOSFET,要注意充分敷设铜皮进行散热。在MOSFET的数据表中,热阻的测量是元件装在1平方英2OZ铜皮的电路板上。Drain的铜皮铺在整个1平方英寸2OZ铜皮的电路板。实际应用中,Drain的铜皮不可能用1平方英2OZ铜皮的电路板,只有尽可能的用大的铜皮来保证热性能。具体的降额值可能值可以参见下图。如果是多面板,最好D和S极对应铜皮位置的每个层都敷设铜皮,用多个过孔连接,孔的尺寸约为0.3mm。

SO8标准热阻:RθJA=90C/W,RθJC=12C/W。 SO8铜皮封装热阻:RθJA=50C/W,RθJC=2.5C/W。